题目描述
在大学里每个学生,为了达到一定的学分,必须从很多课程里选择一些课程来学习,在课程里有些课程必须在某些课程之前学习,如高等数学总是在其它课程之前学习。现在有 $N$ 门功课,每门课有个学分,每门课有一门或没有直接先修课(若课程 $a$ 是课程 $b$ 的先修课即只有学完了课程 $a$,才能学习课程 $b$)。一个学生要从这些课程里选择 $M$ 门课程学习,问他能获得的最大学分是多少?
输入格式
第一行有两个整数 $N,M$ 用空格隔开。($1 \leq N \leq 300, 1 \leq M \leq 300$)
接下来的 $N$ 行,第 $I+1$ 行包含两个整数 $k_i$ 和 $s_i, k_i$ 表示第 $I$ 门课的直接先修课,$s_i$ 表示第 $I$ 门课的学分。若 $k_i=0$ 表示没有直接先修课($1 \leq {k_i} \leq N, 1 \leq {s_i} \leq 20$)
输出格式
只有一行,选 $M$ 门课程的最大得分。
输入输出样例
输入 #1
1
2
3
4
5
6
7
8
7 4
2 2
0 1
0 4
2 1
7 1
7 6
2 2
输出 #1
1
13
分析
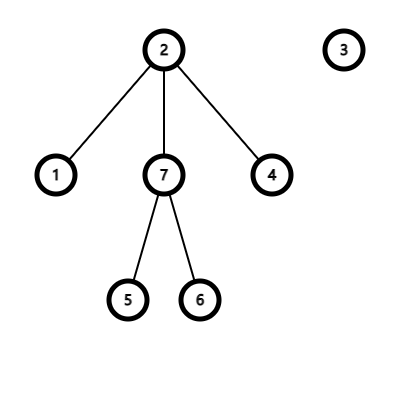
由于每一门课程的先修课只有 $0$ 或 $1$ 门,所以绘制出来将会是森林的结构:
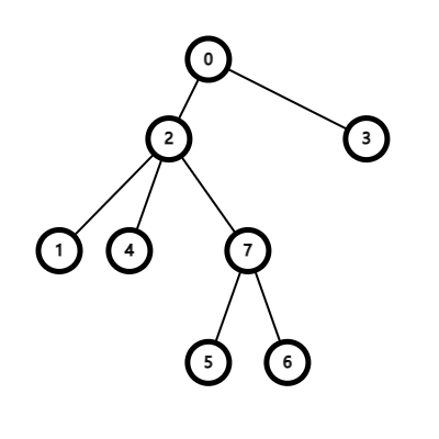
由于森林不方便处理,我们对其进行等效变换,由输入数据得到启发,可以将没有先修课的课程认为是先修课为 $0$ 的课程,这样要学任意课程,都必须先学课程 $0$,而课程 $0$ 是没有学分的(类似于开营仪式),并且我们要把之前能选 $m$ 门课程的条件改为能选 $m+1$ 门课程,这多出来的一门课程就是去学课程 $0$,这样森林中的所有树就合并成了一棵树:
可以在树上进行动态规划求解,我们用数组 $dp[i][j]$ 表示在以 $i$ 为根节点的子树中最多选择 $j$ 门课程所能达到的最大学分,那么朴素的状态转移方程为:
\[dp[i][j]=\max \{ \sum_{k=1}^{\left| son[i] \right|} dp[son[i][k]][x_k] | \sum_{k=1}^{\left| son[i] \right|}x_k=j, \forall x_k \ge 0 \}\]通俗来讲就是根据节点的孩子数将 $j$ 门课程分成相应的份数从孩子节点的 $dp$ 上转移
这样相当于对一个自然数(可选课程数 $j$)进行有限个自然数的剖分,并且区分排列顺序,产生的情况数为 ${j + \lvert son[i] \rvert -1} \choose {\lvert son[i] \rvert}$ 种,所以最坏的情况下会有 ${n+m-1} \choose {m}$ 的数据规模,显然是不能接受的
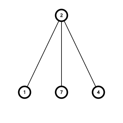
就以以下的父子结构为例:
我们将决策集合绘制成表格:
| 节点 $1$ 为根的子树 | 节点 $7$ 为根的子树 | 节点 $4$ 为根的子树 |
|---|---|---|
| 选 0 门课程 | 选 0 门课程 | 选 0 门课程 |
| 选 1 门课程 | 选 1 门课程 | 选 1 门课程 |
| 选 2 门课程 | 选 2 门课程 | 选 2 门课程 |
| 选 3 门课程 | 选 3 门课程 | 选 3 门课程 |
| 选 4 门课程 | 选 4 门课程 | 选 4 门课程 |
| …… | …… | …… |
事实上,我们需要在每一列中选择一种方案,并且所有子树选的课程和要等于 $j$,这类似于一个分组01背包问题,表格中的每一列表示一组,每一种选择方案表示物品,而物品的“体积”就是选的课程数量,物品的价值就是相应的 $dp$ 的值
| 节点 1 为根的子树 | 节点 7 为根的子树 | 节点 4 为根的子树 | |||
|---|---|---|---|---|---|
| 体积 | 价值 | 体积 | 价值 | 体积 | 价值 |
| 0 | dp[1][0] | 0 | dp[7][0] | 0 | dp[4][0] |
| 1 | dp[1][1] | 1 | dp[7][1] | 1 | dp[4][1] |
| 2 | dp[1][2] | 2 | dp[7][2] | 2 | dp[4][2] |
| 3 | dp[1][3] | 3 | dp[7][3] | 3 | dp[4][3] |
| 4 | dp[1][4] | 4 | dp[7][4] | 4 | dp[4][4] |
| …… | …… | …… | …… | …… | …… |
最后总结一下,首先要进行树形dp,阶段是树上的每一个节点,状态是树上一个节点为根的子树能选择的课程数,决策是一个分组01背包
对于背包而言,阶段是目标节点的每一个孩子节点,状态是选择的物品(课程数),决策是分组01背包的状态转移方程,为了代码的简洁,我们将 $dp[i][j]$ 的意义更改为“在以 $i$ 为根节点的子树节点中(不包含该根节点)能选择的课程数为 $j$ 的情况下的最大学分
由于阶段是自叶子节点向根节点扩展,所以需要先 dfs 再 dp
代码部分
1
2
3
4
5
6
7
8
9
10
11
12
13
14
15
16
17
18
19
20
21
22
23
24
25
26
27
28
29
30
31
32
33
#include <cstdio>
#include <list>
using namespace std;
const int N=310,M=310;
int n,m,s[N],dp[N][M];
list<int> son[N];
void dfs(int x)
{
if(son[x].empty()) return;
for(list<int>::iterator it=son[x].begin();it!=son[x].end();it++)
{
dfs(*it);
for(int i=m;i>=1;i--)
for(int j=1;j<=i-1;j++)
dp[x][i]=max(dp[x][i],dp[x][i-j]+dp[*it][j]+s[*it]);
}
}
int main()
{
scanf("%d%d",&n,&m),m++;
for(int i=1;i<=n;i++)
{
int k;
scanf("%d%d",&k,&s[i]);
son[k].push_back(i);
}
dfs(0);
printf("%d",dp[0][m]);
return 0;
}


